Bihar BSEB 12th Maths 3 February Exam Viral Question 2026: कक्षा 12वीं Maths परीक्षा, 3 फरवरी वायरल क्वेश्चन पेपर आ गया, यहाँ से प्राप्त करें।
नमस्कार दोस्तों आज का यह आर्टिकल इंटर के विद्यार्थियों के लिए काफी ज्यादा महत्वपूर्ण होने वाला है जो 3 फरवरी के दिन प्रथम पाली में जो गणित का पेपर आयोजित होने वाला इस गणित के पेपर में शामिल होने वाले हैं क्योंकि नीचे आप सभी विद्यार्थियों को हम तीन फरवरी के दिन आयोजित होने वाले गणित का वायरल क्वेश्चन पेपर दिए हैं इसमें से अधिकतम प्रश्न आपके बोर्ड परीक्षा में पूछे जाएंगे तो आप अभी जाइए सभी विद्यार्थी वायरल क्वेश्चन पेपर को प्राप्त कर लीजिए और एक-एक प्रश्नों को याद कर लीजिए सब ऑब्जेक्टिव प्रश्न दिए गए हैं उसको याद कर लीजिएगा लघु उत्तरीय प्रश्न दिए गए दीर्घ उत्तरीय प्रश्न दिए गए हैं सभी प्रश्न को याद कर लीजिए और परीक्षा में अच्छा नंबर प्राप्त करिए
| Instagram follow |
आप सभी विद्यार्थी ऊपर जो इंस्टाग्राम अकाउंट का लिंक दिया गया है उसको फॉलो कर लीजिए ताकि आपको सभी विषय का वायरल क्वेश्चन पेपर इसी प्रकार सभी पेपर का मिल सके तो आप लोग ऊपर लिंक पर क्लिक करके इंस्टाग्राम को जरूर फॉलो कर लीजिएगा

| Instagram Follow |
Bihar BSEB 12th Maths 3 February Exam Viral Question 2026:-
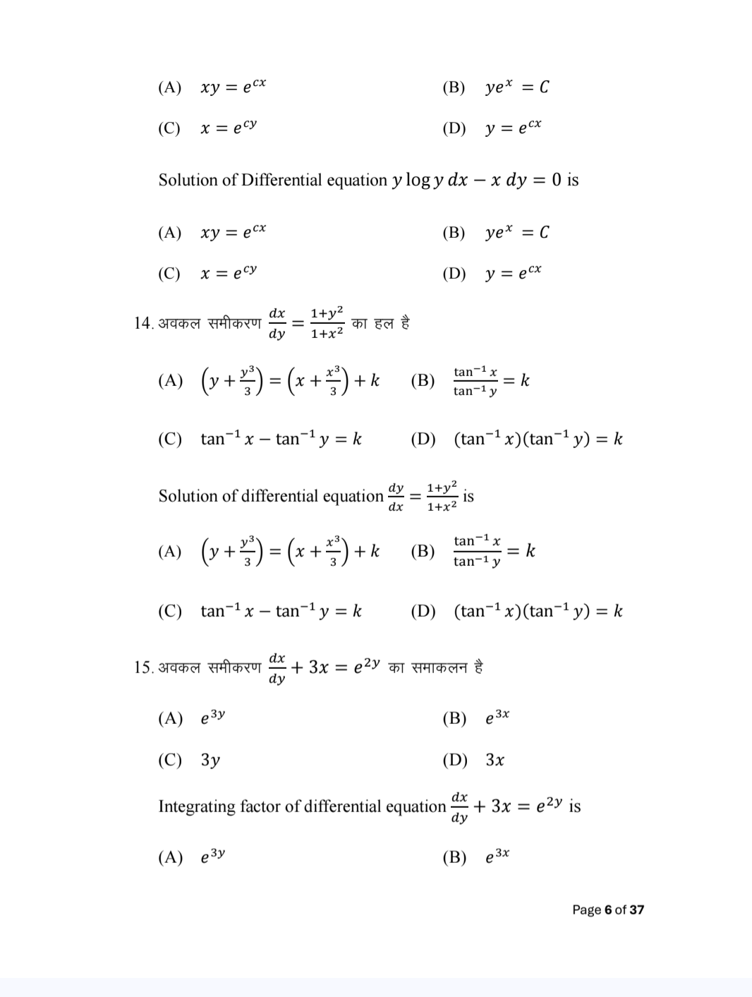
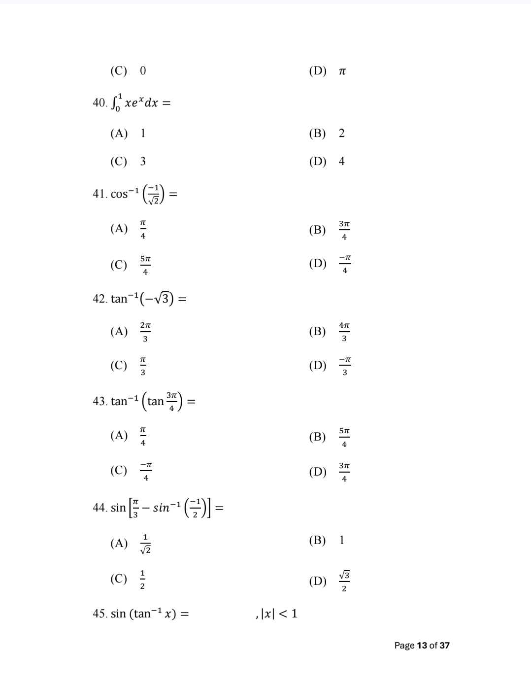
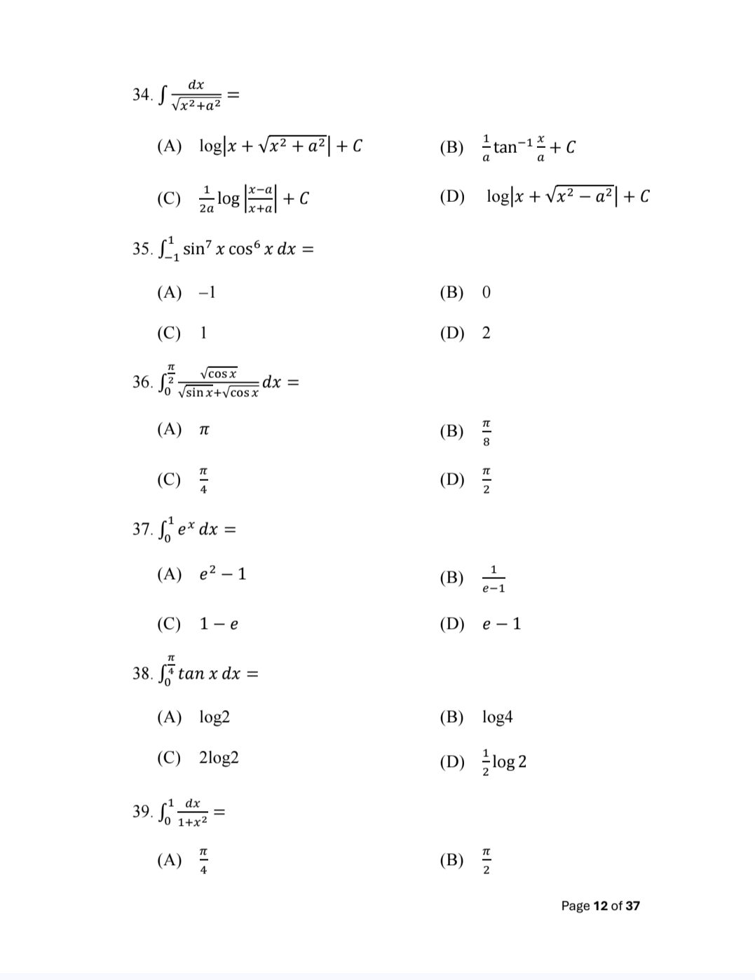
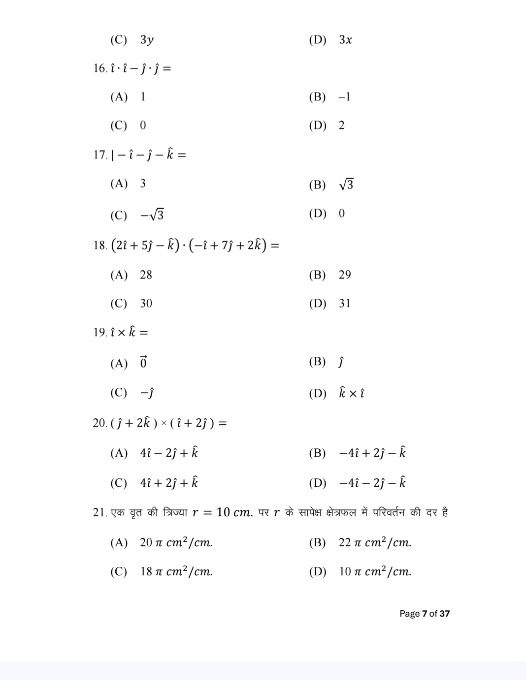
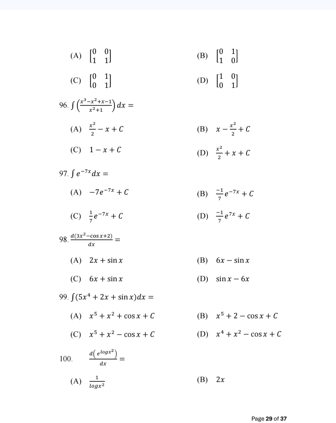
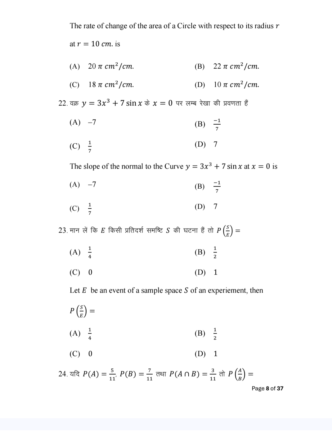
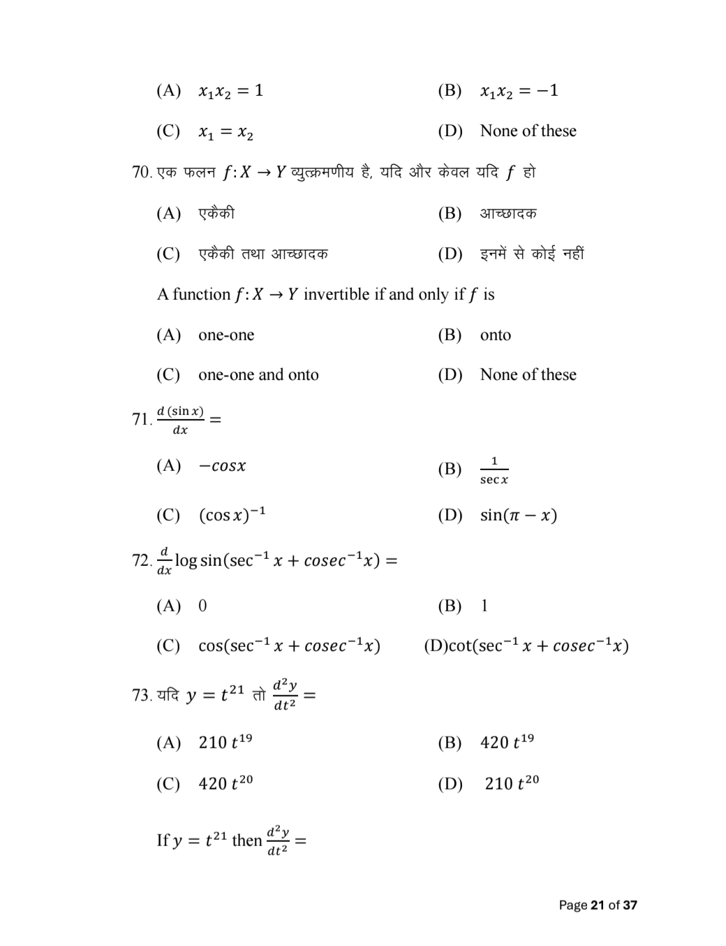
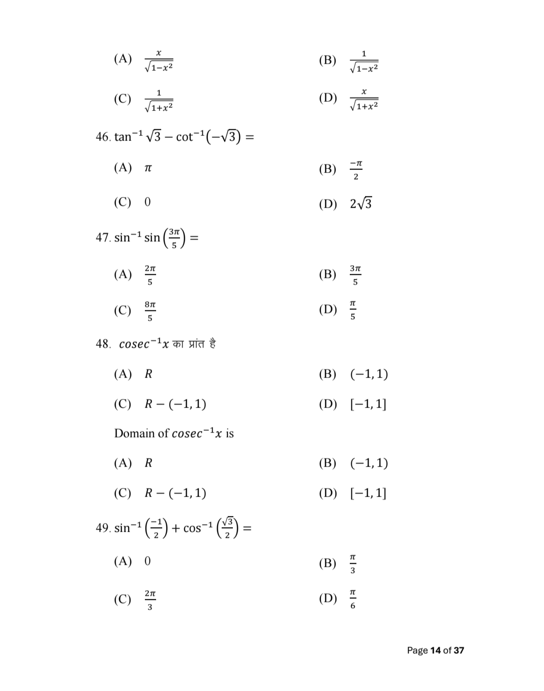
दोस्तों इस आर्टिकल के माध्यम से आप सभी विद्यार्थियों को 3 फरवरी के लिए प्रथम पाली में आयोजित होने वाले गणित का वायरल क्वेश्चन बतलाया गया है अगर आप इन सभी प्रश्न को याद कर लेते हैं इसमें सब ऑब्जेक्टिव प्रश्न बतलाया गया है और लघु उत्तरीय प्रश्न एवं दीर्घ उत्तरीय प्रश्न बतलाई गए हैं सभी प्रश्न को याद करते हैं तो इसमें से अधिकतम प्रश्न आपके बोर्ड परीक्षा में पूछे जाएंगे नीचे आपको पीडीएफ डाउनलोड करने का लिंक मिल जाएगा आप वायरल क्वेश्चन का पीडीएफ भी डाउनलोड कर सकते हैं एवं आप हमारे सोशल मीडिया प्लेटफॉर्म को जरूर फॉलो कर लीजिएगा ताकि आपको वायरल क्वेश्चन मिल सके
Some important link:-
| 12th Maths 3 February Exam Viral Question 2026 | download |
| WhatsApp channel | follow |
| Instagram follow | Follow |
| Telegram channel | Follow |