Bihar Board 12th Maths 3 February Exam Viral Question 2026: कक्षा 12वीं Maths परीक्षा, वायरल क्वेश्चन पेपर, यहाँ से प्राप्त करें।
नमस्कार दोस्तों जो भी बिहार बोर्ड इंटर के विद्यार्थी हैं आप सभी विद्यार्थियों का जो पेपर है वह 2 फरवरी 2026 से शुरू हो चुका है वही 3 फरवरी के दिन गणित के विद्यार्थियों का पेपर आयोजित होने वाला है प्रथम पाली में ही गणित का पेपर आयोजित कराया जाएगा तो जो जो विद्यार्थी इस पेपर में शामिल होने जा रहे हैं आप सभी विद्यार्थी आर्टिकल में बनी रही है क्योंकि इस आर्टिकल के माध्यम से हम आपको गणित का वायरल क्वेश्चन पेपर देने वाले हैं इसमें से अधिकतम प्रश्न आपके बोर्ड परीक्षा में लड़ने वाला है तो आप गणित का वायरल क्वेश्चन पेपर प्राप्त करना चाहते हैं तो इस आर्टिकल में बने रहिए किस आर्टिकल के माध्यम प्रदान करने वाले हैं।
| WhatsApp channel follow |
Bihar Board 12th Maths 3 February Exam Viral Question 2026:-
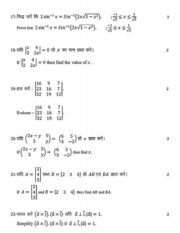
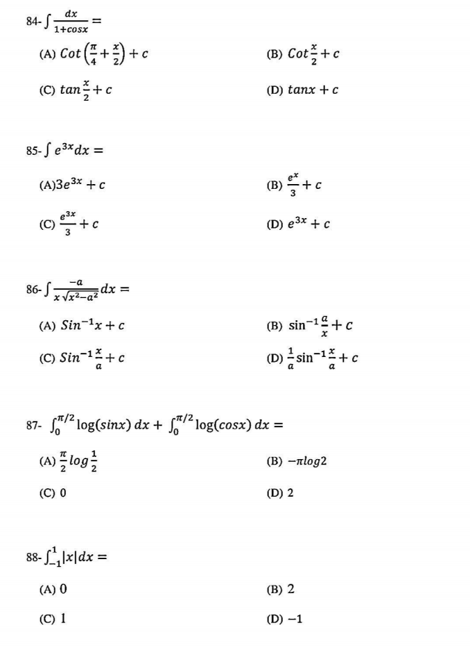
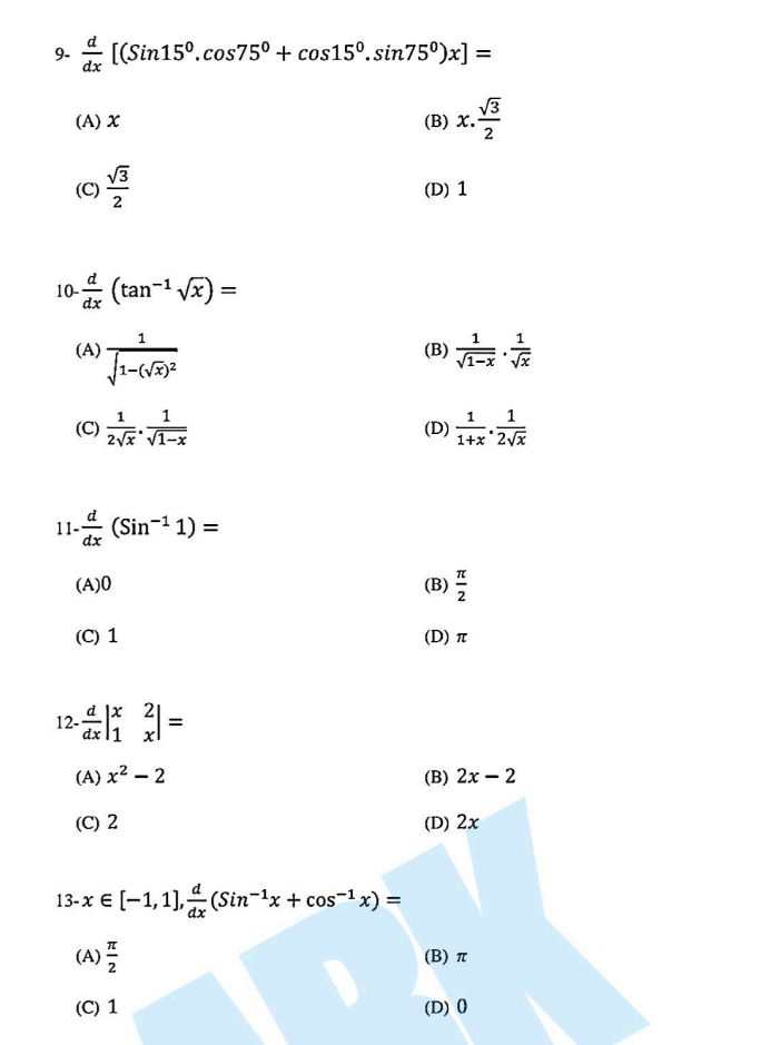
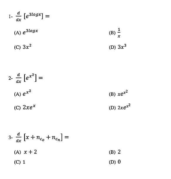
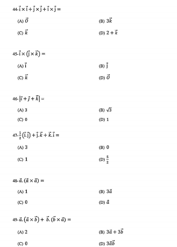
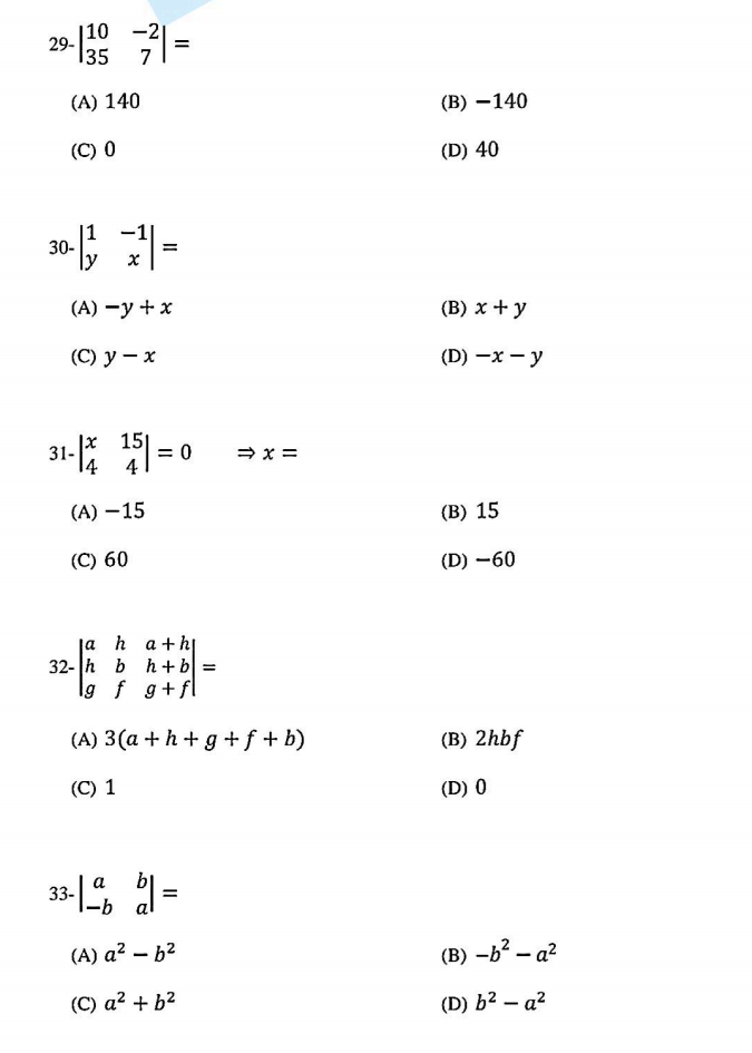
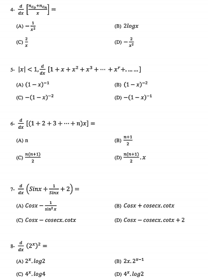
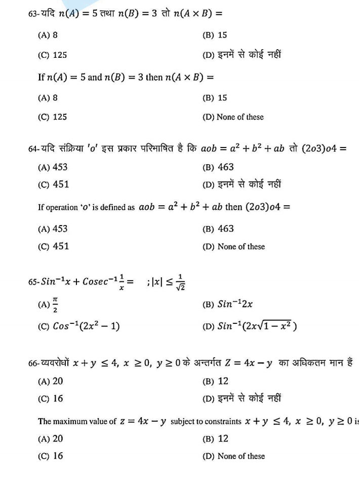
नीचे आप सभी विद्यार्थी देख सकते हैं कि आपको गणित का वायरल क्वेश्चन पेपर दिया गया है जिसमें सब ऑब्जेक्टिव प्रश्न दिए गए हैं वही लघु उत्तरीय प्रश्न और दिर्घ को तरिया प्रश्न में भी दिए गए हैं आप सभी प्रश्नों को एक बार रिवीजन कर लीजिए क्योंकि इसी में से अधिकतम प्रश्न आपके बोर्ड परीक्षा में पूछे जाएंगे

Some important link:-
| Bihar 12th Maths 3 February Exam Viral Question 2026 | click here |
| WhatsApp channel | follow |
| Instagram follow | follow |
| Telegram channel | follow |
