Bihar Board 12th Maths 3 February Exam all formula 2026: कक्षा 12वीं Maths परीक्षा, सभी चेप्टर का फार्मूला, यहाँ से प्राप्त करें।
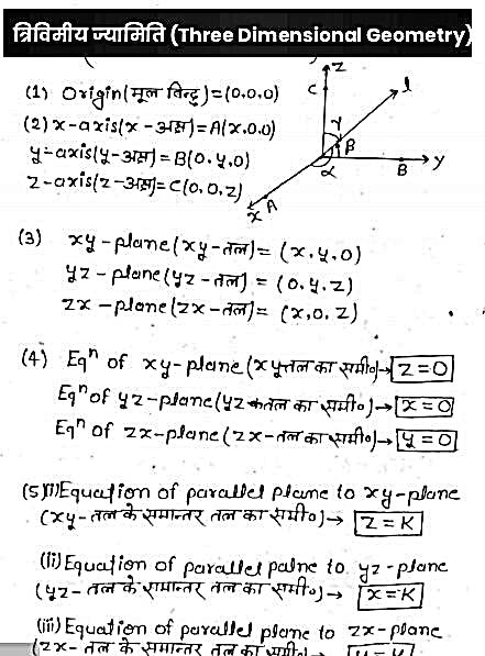
नमस्कार दोस्तों आज का यह आर्टिकल बिहार बोर्ड के इंटर के विद्यार्थियों के लिए काफी ज्यादा महत्वपूर्ण होने वाला है आप सभी विद्यार्थियों को पता है कि आप लोगों का तीन फरवरी के दिन प्रथम पाली में गणित का पेपर आयोजित होने वाला है तो आर्टिकल के माध्यम से आपको संपूर्ण गणित का जो चैप्टर है उसका फार्मूला देने वाले हैं क्योंकि टोटल क्वेश्चन आपके फार्मूला से ही पूछे जाते हैं।
तो अगर आप फार्मूला याद कर लेते हैं तो आप आसानी पूर्वक संघ में 100 नंबर का ला सकते हैं साथ में आपको वायरल क्वेश्चन पेपर कैसे प्राप्त करना है उसके बारे में भी पूरी जानकारी बताने वाले हैं तो आर्टिकल आपके लिए काफी ज्यादा महत्वपूर्ण होने वाला है आप आर्टिकल में अंत तक बने रहिए ताकि आप पेपर के बारे में पूरी जानकारी जान सके
| Instagram follow |
u
| Instagram follow |
Bihar Board 12th Maths 3 February Exam all formula 2026:-
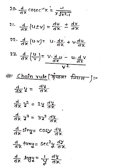
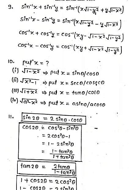
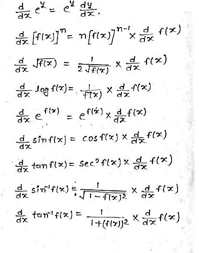
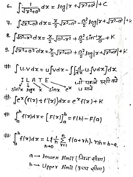
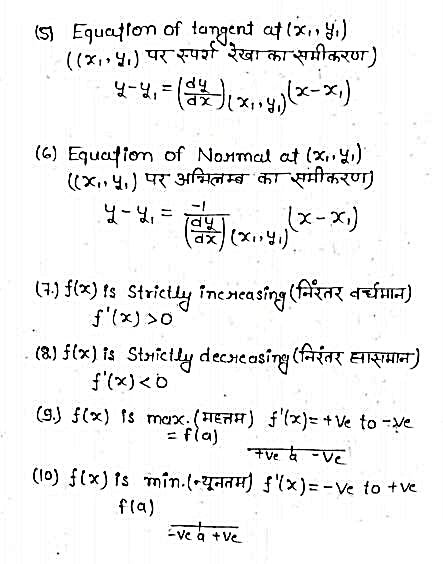
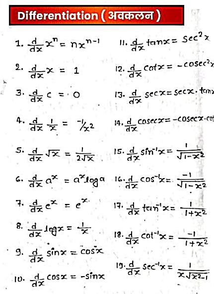
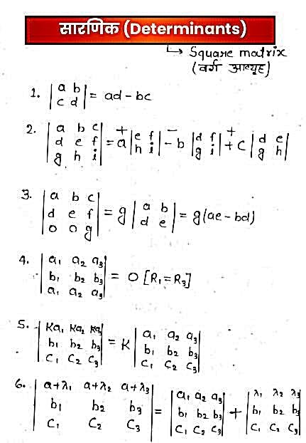
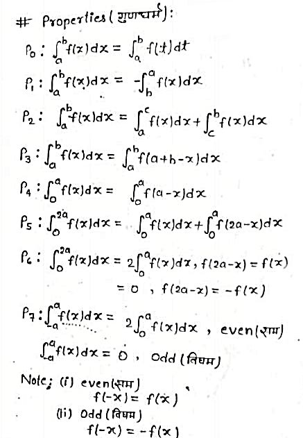
दोस्तों आप सभी विद्यार्थियों को ऊपर हमने गणित का सभी चेप्टर का फार्मूला बता दिया है अगर इन सभी फार्मूला को आप याद कर लेते हैं तो इसमें से अधिकतम प्रश्न आपके बोर्ड परीक्षा में पूछे जाएंगे तो आप सभी फार्मूला को जरूर याद कर लीजिएगा नीचे फॉर्मूला डाउनलोड करने का लिंक भी दिया गया है वहीं अगर आप वायरल क्वेश्चन पेपर भी प्राप्त करना चाहते हैं तो नीचे आपको लिंक दिया गया लिंक पर क्लिक करके इंस्टाग्राम को फॉलो कर लीजिए ताकि आपको वायरल क्वेश्चन पेपर वहां पर दिया जाता हैं।
Some important link:-
| Bihar Board 12th Maths 3 February viral question paper 2026 | click here |
| Bihar Board 12th Maths 3 February Exam all formula 2026 | click here |
| WhatsApp channel | follow |
| Instagram follow | follow |
| Telegram channel | follow |
