Class 10th 18 February maths Viral Question paper: बिहार बोर्ड मैट्रिक 18 फरवरी के लिए गणित का वायरल क्वेश्चन पेपर आ गया, यहां से प्राप्त करें।
नमस्कार दोस्तों आप भी बिहार बोर्ड मैट्रिक के विद्यार्थी है तो आपके लिए यह आर्टिकल काफी ज्यादा महत्वपूर्ण होने वाला है क्योंकि इस आर्टिकल के माध्यम से हम 18 फरवरी के दिन आयोजित होने वाले गणित का वायरल क्वेश्चन पेपर देने वाले हैं आपको पता है कि 18 फरवरी के दिन प्रथम पाली एवं द्वितीय पाली में गणित का पेपर आयोजित होने वाला है जिस पेपर में लाखों विद्यार्थी शामिल होने वाले हैं आप इस पेपर में शामिल होने जा रहे हैं तो आप आर्टिकल में बने रहिएगा क्योंकि आर्टिकल के माध्यम से आपको वायरल क्वेश्चन पेपर प्रदान किया जाएगा
जो वायरल क्वेश्चन पेपर गणित का हम देने वाले हैं जिसमें से अधिकतम प्रश्न प्रथम पाली एवं द्वितीय पाली में पूछे जाएंगे अगर आप सभी प्रश्न को याद कर लेते हैं तो आप परीक्षा में बहुत अच्छा मार्क्स ला सकते हैं तो आप आर्टिकल में बने रहिए आपको गणित के पेपर के बारे में पूरी जानकारी अच्छे से हम विस्तार पूर्वक बतलाया जाएगा
| Instagram follow |
बिहार क्लास 10th 18 फरवरी गणित पेपर:-
जो भी मैट्रिक के विद्यार्थी हैं आप सभी विद्यार्थियों को बतला दे कि बिहार स्कूल एग्जामिनेशन बोर्ड की तरफ से जो मैट्रिक की परीक्षा आयोजित कराई गई है जिसमें गणित की परीक्षा 18 फरवरी के दिन प्रथम पाली एवं द्वितीय पाली में आयोजित कराई जाएगी जो प्रथम पाली की परीक्षा होगी या परीक्षा सुबह के 9:30 से लेकर दोपहर के 12:45 तक आयोजित होगी जो की 3 घंटा 15 मिनट की होगी तथा जो द्वितीय पाली की परीक्षा होगी यह परीक्षा भी दोपहर के 2:00 से लेकर शाम के 5:15 तक आयोजित होगी और परीक्षा तीन घंटा 15 मिनट की होगी
Class 10th 18 February maths Viral Question paper:-
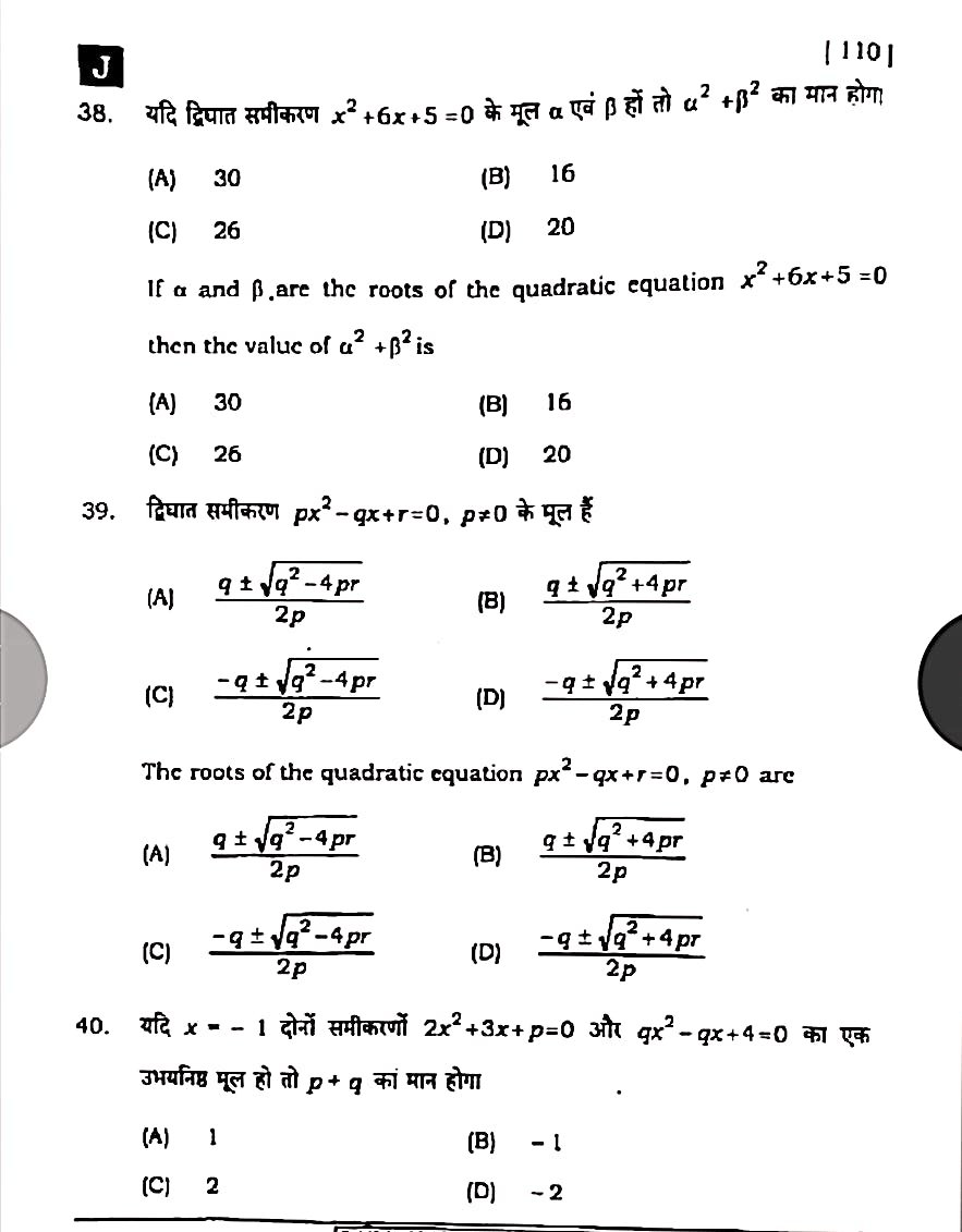
नीचे आप सभी विद्यार्थी को 18 फरवरी के लिए गणित का वायरल क्वेश्चन पेपर दिया गया है जो की प्रथम पाली एवं द्वितीय पाली में पूछे जाएंगे तो जो भी वायरल क्वेश्चन पेपर दिया गया है आप सभी विद्यार्थी सभी क्वेश्चन को जरूर से याद कर लीजिएगा
| Out Question paper |

| Viral question paper |
Class 10th 18 February maths Viral Question paper:-
18 फरवरी के लिए प्रथम पाली एवं द्वितीय पाली में जो गणित का पेपर आयोजित कराया जाएगा इसका वायरल क्वेश्चन पेपर दिया गया है इन सभी क्वेश्चन को आप सभी विद्यार्थी याद कर लीजिए अगर याद कर लेते हैं तो इसमें से अधिकतम प्रश्न आपके बोर्ड परीक्षा में पूछे जाएंगे और आप परीक्षा में आसानी पूर्वक टॉप कर सकते हैं तो सभी क्वेश्चन को जरूर याद कर लीजिएगा
नीचे हमारे इंस्टाग्राम अकाउंट का लिंक दिया गया है और व्हाट्सएप चैनल का लिंक दिया गया है क्लिक करके आप सभी विद्यार्थी फॉलो कर लीजिए क्योंकि सभी विषय का वायरल क्वेश्चन पेपर आपको दिया जाएगा तो आप अभी जाइए इंस्टाग्राम को फॉलो कर लीजिए
Some important link:-
| Class 10th 18 February maths Viral Question paper | click here |
| WhatsApp channel | follow |
| Instagram follow | follow |
| Telegram channel | follow |
