Bihar board class 9th 19 march Maths answer key 2026: बिहार बोर्ड कक्षा 9वीं गणित का आंसर की, यहाँ से प्राप्त करें।
नमस्कार दोस्तों आप भी 9वी कक्षा के विद्यार्थी है तो उम्मीद है कि आप सभी विद्यार्थियों का पेपर बहुत अच्छा जा रहा होगा आप सभी विद्यार्थियों का हिंदी और सामाजिक विज्ञान का पेपर आज समाप्त हो चुका है उम्मीद है कि यह पेपर बहुत अच्छा गया होगा अब आप सभी विद्यार्थियों का 19 मार्च के दिन प्रथम पाली में गणित का पेपर आयोजित होने वाला है जिस प्रकार हमने आपको पिछला पेपर का आंसर की दिया था उसी प्रकार गणित का भी आंसर की देने वाले हैं
और आप लोग आंसर की को अच्छे से याद कर लीजिएगा क्योंकि हम जो बताने वाले हैं आंसर की वही आपकी परीक्षा में पूछे जाएंगे तो आप भी अनेक मार्च के लिए गणित का आंसर की प्राप्त करना चाहते हैं तो आप हमारे साथ इस आर्टिकल में अंत तक जरूर से बने रहिएगा
| WhatsApp channel follow |
जो भी विद्यार्थी व्हाट्सएप चैनल को फॉलो नहीं किया है आप सभी विद्यार्थी जरूर से व्हाट्सएप चैनल को फॉलो कर लीजिएगा ऊपर हमने आपको लिंक दे दिया है क्योंकि व्हाट्सएप चैनल को आप ज्वाइन कर लेते हैं तो आपको बिहार बोर्ड से जुड़ा अपडेट एवं गणित का वायरल क्वेश्चन पेपर सभी विषय का आपको हम व्हाट्सएप चैनल में देते हैं तो जो भी विद्यार्थी अब तक हमारे व्हाट्सएप चैनल को फॉलो नहीं किया है जाकर अभी फॉलो कर लीजिए
Bihar board class 9th 19 march Maths paper:-
9th क्लास के विद्यार्थियों का 19 मार्च के दिन प्रथम पाली में गणित का पेपर आयोजित कराया जाएगा आप सभी विद्यार्थियों को बदल दे की प्रथम पाली में गणित का पेपर सुबह 9:30 से आयोजित कराया जाएगा वहीं पेपर दोपहर के 12:45 तक आयोजित होगी यानी पेपर 3 घंटा 15 मिनट की आयोजित होने वाली है जिस प्रकार फाइनल पेपर आयोजित कराया जाता है उसी प्रकार या पेपर भी आयोजित होने वाला हैं।
वही गणित के पेपर में पैटर्न की बात करें तो गणित का पेपर सब नंबर का आयोजित कराया जाएगा जिसमें से 50 नंबर का ऑब्जेक्टिव प्रश्न पूछा जाएगा और 50 नंबर का सब्जेक्टिव प्रश्न रहेगा और अच्छी बात यह है कि प्रश्न का उत्तर देने के लिए आपको दोगुनी विकल्प दिए जाएंगे तो जिस प्रकार फाइनल परीक्षा आयोजित होता है ना उसी प्रकार आप लोग का यह परीक्षा भी होने वाला हैं।
Bihar board class 9th 19 march Maths answer key 2026:-
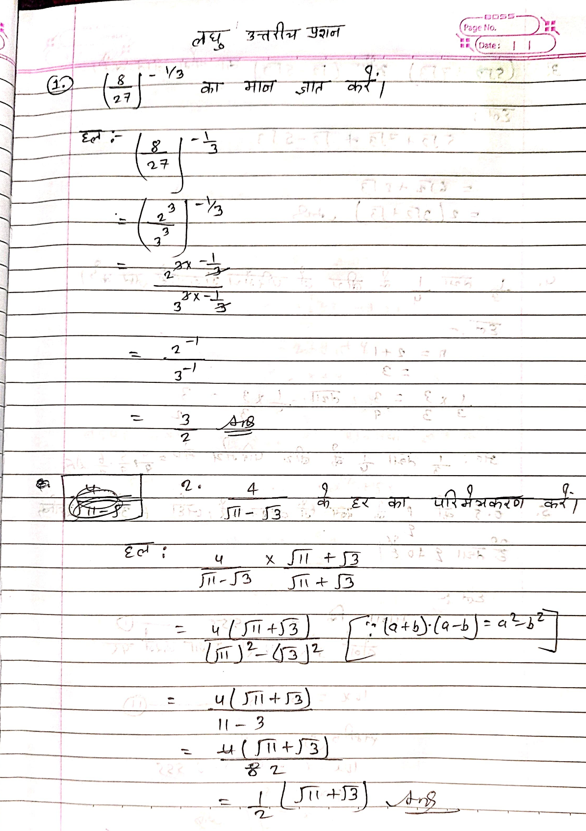
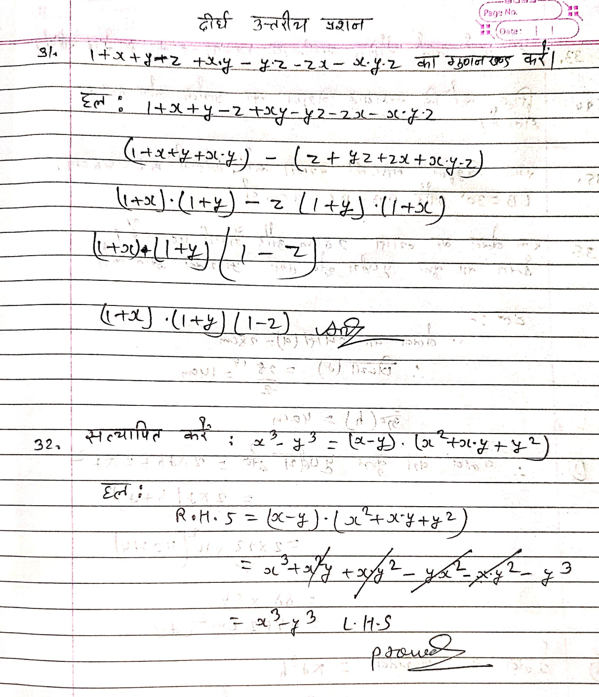
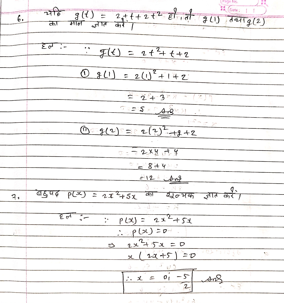
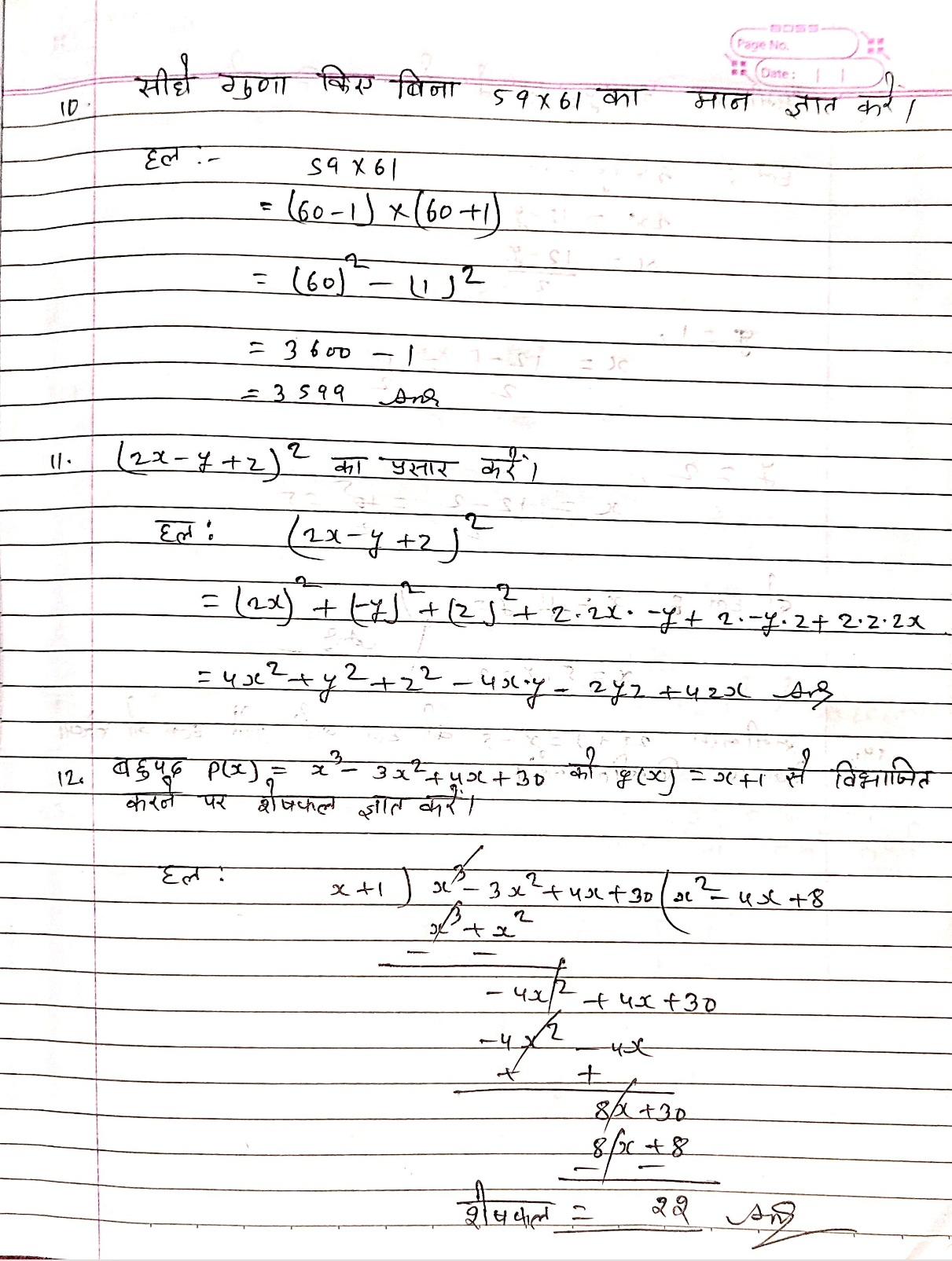
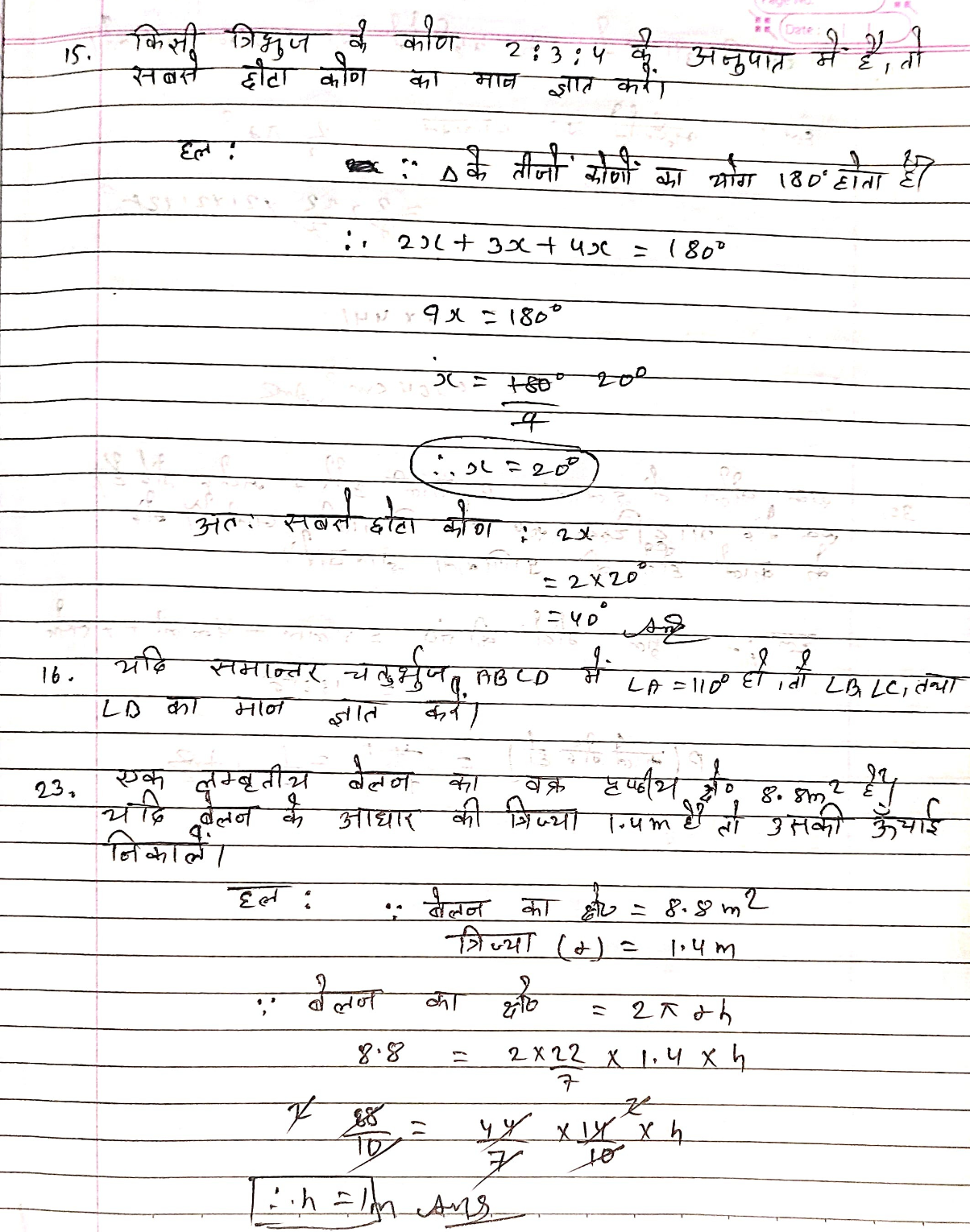
जो जो विद्यार्थी 19 मार्च के लिए गणित का आंसर की प्राप्त करना चाहते हैं आप सभी विद्यार्थियों के लिए हमने गणित का आंसर की तैयार कर लिया है ऑब्जेक्टिव प्रश्न और सब्जेक्टिव प्रश्न दोनों का आंसर की तैयार कर लिया गया है आपको बतला दे कि नीचे आपको लिंक दिया गया है आप दिए गए लिंक पर क्लिक करके 19 मार्च के लिए गणित का ऑब्जेक्टिव प्रश्न और सब्जेक्टिव प्रश्न का आंसर की अभी जाइए प्राप्त कर लीजिए और उसको अच्छे से याद कर लीजिएगा क्योंकि यही प्रश्न आपके बोर्ड परीक्षा में पूछे जाएंगे तो आपको नीचे हमने टेबल के माध्यम से ऑब्जेक्टिव पर सब्जेक्टिव दोनों का डाउनलोड करने का लिंक दे दिया है जाइए क्लिक करके डाउनलोड कर लीजिए


Some important link:-
| class 9th 19 march Maths objective answer key 2026 | download |
| class 9th 19 march Maths answer subjective key 2026 | download |
| WhatsApp channel | follow |
| Instagram follow | follow |
